Ámbito Científico-Tecnológico. CEPA Reinosa
Nivel I y II ESPA
miércoles, 27 de noviembre de 2024
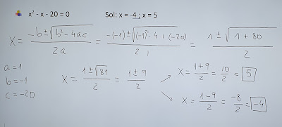
Hoja 2. Ecuaciones de segundo grado con solución
No hay comentarios:
Publicar un comentario
Entrada más reciente
Entrada antigua
Inicio
Suscribirse a:
Enviar comentarios (Atom)
No hay comentarios:
Publicar un comentario